Top.Mail.Ru

Министерство обороны Российской Федерации

Военный учебный центр
при МГТУ «СТАНКИН»

Требования к поступающим


В качестве кандидатов для обучения в Военном учебном центре рассматриваются граждане Российской Федерации мужского пола:
• до достижения ими 30-летнего возраста
• обучающиеся в МГТУ «Станкин» по образовательной программе высшего образования бакалавриата, специалитета, по очной форме и на специальностях в соответствии с Перечнем направлений подготовки (направленности (профиля) или специальностей)
• соответствующие требованиям, предъявляемым к гражданам, поступающим на военную службу по контракту;
• имеющие документ государственного образца о среднем (полном) общем или среднем профессиональном образовании.
• имеющие категорию годности:

◦ А1, А2, А3, А4 – годен к военной службе;

◦ Б1, Б2, Б3, Б4 – годен к военной службе с незначительными ограничениями;

◦ Остальные категории не рассматриваются.

• имеющие результат профессионального психологического отбора:

◦ Первая и вторая категории – рассматриваются в первую очередь;

◦ Третья категория – рассматриваются во вторую очередь (после первой и второй категорий);

◦ Четвертая категория – не рассматривается.

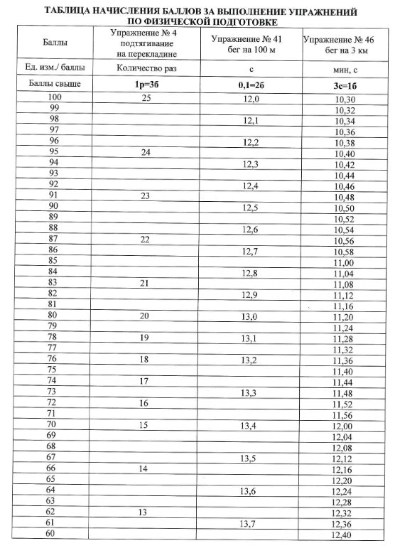
• сдавшие нормативы по физической подготовке: подтягивание на перекладине, бег – 100 м, бег – 3 км.